科研动态

科研动态
位置: 首页 > 科研动态 > 正文

beat365师生在SCI一区Top期刊发表学术论文

作者:   时间:2024-05-09   点击数:

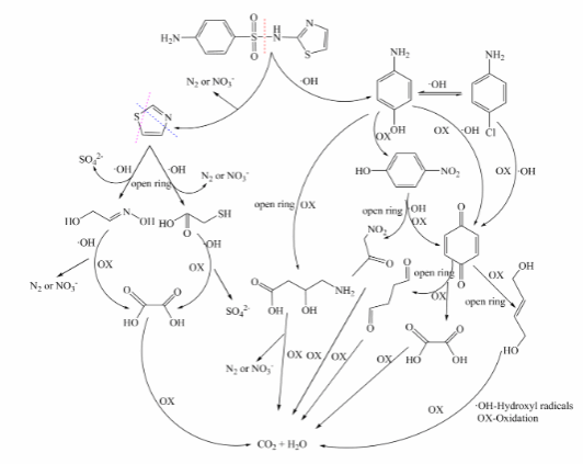
近日,beat365材料与环境学院科研成果“Fabrication and characterization of a novel multilayer heterojunction Si3N4-PbO2 nanocomposite electrode and its application on electrocatalysis degradation of sulfathiazole(新型多层异质结结构Si3N4-PbO2电极的制备、表征及其电催化降解磺胺噻唑的应用)”在化工材料领域国际顶级期刊Chemical Engineering Journal(中科院一区期刊,影响因子15.1)上发表。材料系于乃川老师为论文第一作者,作者中还包括两名参与项目的本科生(洪歆彤、毛显赫)。该论文是在天津学院院长基金项目支持(项目编号No.2023YZJJ-KJ06)下产出的典型成果,也是beat365首次以第一单位发表影响因子大于10.0的学术论文。

论文针对有机废水处理难题,聚焦于制备具有异质结结构的Si3N4-PbO2纳米复合电极,同时对Si3N4纳米颗粒和PbO2晶体(110和101晶面)的结合能进行了计算,通过理论计算验证了该电极的优异性能,并将其应用于磺胺噻唑的降解过程中,探究了磺胺噻唑的降解机理和反应活性位点等,同时验证了该电催化降解磺胺噻唑的过程是生理毒性逐步降低的趋势。该研究成果在高污染废水处理领域具有良好的应用前景。

近年来,在院长基金及科研处、产学研合作办公室等部门的支持和领导下,材料系不断加强产学研合作研究平台建设,大力引进高水平青年人才,积极开展产学研合作,坚持以工程应用型科研促进应用型本科生培养,积极开展“项目教学化”和“教学项目化”实践,努力夯实“3+1”应用型本科培养模式。本次由青年指导教师和本科生联合发表的高水平论文,充分彰显了天津学院应用型人才培养水平和质量得到有效提升。beat365将继续秉承“以生为本”的办学理念,大力培植有利于学生素质拓展和工程应用能力提升的“土壤”,为社会各行业培养更多高素质的应用型人才。

 

Figure 1 SEM images of (a) PbO2 electrode, (b) Si3N4-PbO2-2 g L-1, (c) Si3N4-PbO2-4 g L-1, (d)Si3N4-PbO2-6 g L-1, (e) Enlarged image of (d), (f) Si3N4-PbO2- 8 g L-1, 3D confocal laser microscope(X2000) of (g) PbO2 electrode (h) Si3N4-PbO2-6 g L-1 electrode, EDS mapping images of (i) Pb, (j) O,(k) Si, (l) N

 

Figure 2 XRD patterns of Si3N4-PbO2 electrode and PbO2 electrode

 

Figure 3 Water adsorption energy model (a)PbO2 (b) Si3N4-PbO2

 

Figure 4 Minimum energy pathway for water adsorption, ·OH generation and desorption process on (a) PbO2 and (b) Si3N4-PbO2 calculate with NEB.

 

Figure 5 Fukui functions (a) , (b), (c) , (d) dual descriptor (DD),
(e) optimized structure of sulfathiazole

 

Figure 6 Possible degradation pathway of sulfathiazole

 

(来源:学院新闻)

 

地址:天津市宝坻区京津新城珠江北环东路1号

招办联系电话:022-22410969 022-22410960

院长信箱:ustbtjxy@ustb.edu.cn  董事长邮箱:dsz@gdpr.com 邮编:301830

  • 北京科技大学天津学院

    公众号

版权所有 © 英国beat365官方网站 京ICP备:13030111